Pesuruhjaya Contoh Surat Akuan Sumpah Waris





Facebook

Facebook

Ini Adalah Contoh Surat Akuan Yang Pesuruhjaya Sumpah Plaza Masalam Seksyen 9 Shah Alam Facebook

Ini Adalah Contoh Surat Akuan Yang Pesuruhjaya Sumpah Plaza Masalam Seksyen 9 Shah Alam Facebook

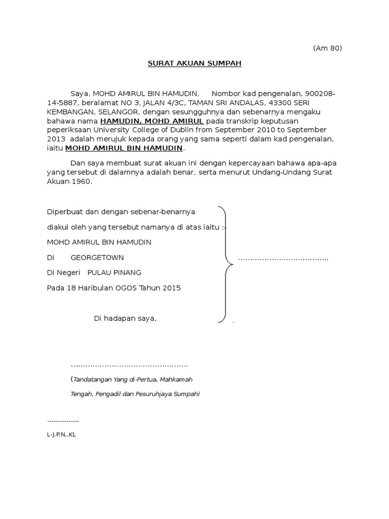
Borang Am 80 Pesuruhjaya Sumpah

Borang Am 80 Pesuruhjaya Sumpah

Surat Akuan Sumpah

Surat Akuan Sumpah

Harta Pusaka Contoh Surat Akuan Sumpah Waris

Harta Pusaka Contoh Surat Akuan Sumpah Waris

Harta Pusaka Contoh Surat Akuan Sumpah Waris

Contoh surat akuan sumpah.

Pesuruhjaya contoh surat akuan sumpah waris. Contoh surat akuan sumpah pinjaman contoh jurat adalah seperti di borang 8 jadual ketiga kaedah kaedah pesuruhjaya sumpah 2018 dan jurat ini hanya terpakai kepada surat akuan berkanun dan bukan afidavit. Dan saya membuat akuan ini dengan kepercayaan bahawa akuan ini adalah benar. Borang akuan seperti yang terdapat di dalam akta akuan berkanun 1960. H surat penolakan waris waris yang ingin menolak hak dan bahagian masing masing kepada surat kuasa mentadbir pusaka bagi harta pusaka tersebut borang 169.

Gambar contoh surat akuan sumpah serah tanah yang baik dan benar 2019. Setelah mencantumkan identitas lengkap penjual pihak pertama dan pembeli pihak kedua alamat lengkap dan posisi lahan yang tepat juga perlu untuk dijabarkan. Bahwa tujuan dan maksud pengesahan ahli waris ini pemohon ajukan untuk mendapatkan sertifikat tanah dan menandatangani akte agunan yang diperlukan dari a b no. By posted on october 2 2020.

Dan saya mengajukan pinjaman sebesar rp700 000 000 dan mereka meminta surat kepercayaan saya dan setelah mereka selesai memverifikasi detail saya pinjaman tersebut. Pesuruhjaya sumpah juga dibenarkan mengutip rm10 00 bagi setiap dokumen selain daripada akuan berkanun yang mana pesuruhjaya sumpah telah diberi kuasa oleh undang undang untuk menandatanganinya sebagai contoh borang dda surat kuasa wakil. Beberapa contoh surat akuan tukar hak milik tanah terbaru 2019. Untuk dilantik sebagai pesuruhjaya sumpah mengikut kaedah kaedah pesuruhjaya sumpah 2018 p u.

Pastikan anda guna format yang tepat mengikut akta akuan berkanun 1960. Tidak pernah disabitkan dengan apa apa kesalahan jenayah. Surat akuan pengesahan pendapatan saya. Saya bukan seorang bankrap yang belum dilepaskan.

Wujud elemen paksaan oleh waris maka pesuruhjaya sumpah boleh menolaknya selaras dengan kaedah kaedah pesuruhjaya sumpah 1993. Dan saya membuat surat akuan sumpah ini dengan kepercayaan bahawa apa apa yang tersebut di dalamnya adalah benar serta menurut akta akuan berkanun 1960. I dokumen pelantikan penjaga guardian ad litem dalam hal waris waris di bawah umur atau orang kurang upaya. Surat akuan sumpah adalah terpakai kepada sesuatu tarikh yang dimaksudkan.

96 bd 1997 tanggal 06 mei 1997 guna mengambil kredit di bank. Contoh surat sumpah borang am80. Pesuruhjaya sumpah majistret hakim mahkamah sesyen potong mana yang tidak berkenaan. Contoh surat akuan karya video di bawah akan menerangkan tentang cara menaip surat akuan yang tepat dan mengikut format.

Contoh surat akuan sumpah serah tanah. Contoh surat akuan sumpah hilang resit pesuruhjaya sumpah malaysia diperbuat dan dengan sebenar benarnya diakui oleh yang tersebut namanya di atas iaitu. Majistret pesuruhjaya sumpah sebelum tarikh perbicaraan ditetapkan.

Pesuruhjaya Sumpah Plaza Masalam Seksyen 9 Shah Alam Posts Facebook

Pesuruhjaya Sumpah Plaza Masalam Seksyen 9 Shah Alam Posts Facebook

Http Pilah Ns Gov My My Awam Muaturun Borang Urusan Tanah Download 3 Borang Akuan Sumpah

Http Pilah Ns Gov My My Awam Muaturun Borang Urusan Tanah Download 3 Borang Akuan Sumpah

Contoh Soal To Kimia Contoh Surat Akuan Sumpah

Contoh Soal To Kimia Contoh Surat Akuan Sumpah

Bg014 Surat Akuan Sumpah

Bg014 Surat Akuan Sumpah

Contoh Soal To Kimia Contoh Surat Akuan Sumpah

Contoh Soal To Kimia Contoh Surat Akuan Sumpah

Surat Akuan Penaja

Surat Akuan Penaja

Pesuruhjaya Sumpah Posts Facebook

Pesuruhjaya Sumpah Posts Facebook

Http Www Anm Gov My Images Perlis Surat Pemberitahuan Perubahan Bon Uma8 Dan Format Surat Pengesahan Entiti Pdf

Http Www Anm Gov My Images Perlis Surat Pemberitahuan Perubahan Bon Uma8 Dan Format Surat Pengesahan Entiti Pdf

Http Www Anm Gov My Images Perlis Surat Pemberitahuan Perubahan Bon Uma8 Dan Format Surat Pengesahan Entiti Pdf

Http Www Anm Gov My Images Perlis Surat Pemberitahuan Perubahan Bon Uma8 Dan Format Surat Pengesahan Entiti Pdf

Contoh Surat Akuan Sumpah Waris Contoh Surat

Contoh Surat Akuan Sumpah Waris Contoh Surat

Borang Akuan Sumpah Untuk Bantuan Menguruskan Jenazah Anak Veteran Atm Bmj 03 By Syamsul Bahri Issuu

Borang Akuan Sumpah Untuk Bantuan Menguruskan Jenazah Anak Veteran Atm Bmj 03 By Syamsul Bahri Issuu

Contoh Surat Rasmi Akuan Sumpah Arasmi

Contoh Surat Rasmi Akuan Sumpah Arasmi

Ini Adalah Contoh Borang A Peraturan Pesuruhjaya Sumpah Plaza Masalam Seksyen 9 Shah Alam Facebook

Ini Adalah Contoh Borang A Peraturan Pesuruhjaya Sumpah Plaza Masalam Seksyen 9 Shah Alam Facebook

Kematian Contoh Surat Akuan Sumpah Waris

Kematian Contoh Surat Akuan Sumpah Waris

Source : pinterest.com